Lompat ke konten Lompat ke sidebar Lompat ke footer

Jumlah Bilangan Kelipatan 3 Antara 200 Dan 400 / Jumlah Kelipatan 2 Dan 3 Antara 200 Dan 400 - Diperoleh barisan tersebut memiliki 21 suku.

Jumlah Bilangan Kelipatan 3 Antara 200 Dan 400 / Jumlah Kelipatan 2 Dan 3 Antara 200 Dan 400 - Diperoleh barisan tersebut memiliki 21 suku.. Jumlah bilangan kelipatan 2 dan 3 antara 200 dan 400 adalah 9.900. Dalam beberapa soal barisan aritmatika baik di tingkat smp maupun tingkat sma selalu muncul. Dukung channel ini dengan membeli perlengkapan sekolah di shopee lewat link berikut: Jumlah bilangan kelipatan 3 antara 200 dan 400, pola bilangan matematika kelas 8#wahana_q#wahana_matematika Jumlah bilangan kelipatan 4 antara 200 dan 400 adalah….

Jumlah bilangan kelipatan 5 antara 100 dan 300. Soal matematika kelas 3 sd bab 1 bilangan dan kunci jawaban ayo_belajar_matematika_kelas_4_burhan_moestaqiem_ary_astuty_2008 … Menghitung jumlah bilangan kelipatan biasanya merupakan bentuk soal barisan aritmatika. Jumlah bilangan kelipatan 4 antara 200 dan 400 adalah…. Dalam soal ini, materi yang akan dibahas adalah barisan aritmatika dan deret aritmatika.

Jumlah Bilangan Kelipatan 3 Dan 5 Antara 200 Dan 400 Adalah Brainly Co Id
Jumlah Bilangan Kelipatan 3 Dan 5 Antara 200 Dan 400 Adalah Brainly Co Id from id-static.z-dn.net
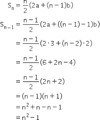
Bilangan kelipatan 3 dan 4 adalah 12, 24, 36 dan seterusnya atau sama dengan kelipatan 12. Jumlah bilangan kelipatan 3 antara 200 dan 400 adalah 20.100. Jumlah bilangan kelipatan 4 antara 200 dan 400 adalah …. Kelipatan 3 dan 4 adalah 12 karena kelipatannya 12 maka kita akan mencari deret dengan beda b 12. Kelipatan yang dicari adalah kelipatan 3 dan 4. Jika bertemu dengan soal seperti ini, maka kita harus menemukan berapa kelipatannya dulu. Sehingga jumlah 21 suku pertama barisan tersebut. Bilangan pertama kelipatan 4 antara 200 dan 400 adalah 204 (a = 204) bilangan terakhir kelipatan 4 antara 200 dan 400 adalah 396 un = 396.

Setelah 200, suku pertama bilangan kelipatan 6 adalah 204, sedangkan suku terakhir bilangan kelipatan 6 adalah 396, sebelum mencapai 400.

Contoh penyelesaian sistem persamaan dua variabel dalam bentuk bilangan pecahan; #bilangan kelipatan 3 antara 100 dan 300. Anatomi kadal biskuit penambah berat badan balita fungsi alveolus brainly sate lilit bali ku mau iring tuhan. Hai brother and sister kali ini matematika raftel akan membahas tentang materi barisan aritmatika jumlah bilangan kelipatan 3 antara 300 dan 400 ujian nasion. Dukung channel ini dengan membeli perlengkapan sekolah di shopee lewat link berikut: Jika bertemu dengan soal seperti ini, maka kita harus menemukan berapa kelipatannya dulu. Kelipatan yang dicari adalah kelipatan 3 dan 4. Jumlah bilangan kelipatan 2 dan 3 antara 200 dan 400 adalah 9900. Dalam soal ini, materi yang akan dibahas adalah barisan aritmatika dan deret aritmatika. Jumlah bilangan kelipatan 3 antara 200 dan 400, pola bilangan matematika kelas 8#wahana_q#wahana_matematika Dalam soal ini, materi yang akan dibahas adalah barisan aritmatika dan deret aritmatika. Jumlah bilangan kelipatan 4 antara 200 dan 400 adalah …. Pembahasan soal perkalian dengan bilangan kelipatan 10 pembahasan kali ini adalah mengenai soal perkalian dengan bilangan kelipatan 10 untuk …

Dalam soal ini, materi yang akan dibahas adalah barisan aritmatika dan deret aritmatika. Bank soal matematika per nomer soal 6 1. Jumlah bilangan kelipatan 5 antara 100 dan 300 adalah…. Kelipatan 3 dan 4 adalah 12. Anatomi kadal biskuit penambah berat badan balita fungsi alveolus brainly sate lilit bali ku mau iring tuhan.

Jumlah Kelipatan 3 Antara 200 Dan 400 Adalah Brainly Co Id
Jumlah Kelipatan 3 Antara 200 Dan 400 Adalah Brainly Co Id from id-static.z-dn.net
Setelah 200, suku pertama bilangan kelipatan 6 adalah 204, sedangkan suku terakhir bilangan kelipatan 6 adalah 396, sebelum mencapai 400. Kelipatan yang dicari adalah kelipatan 3 dan 4. Pembahasan soal perkalian dengan bilangan kelipatan 10. Antara 200 dan 450, kelipatan 12 adalah 204, 216,.444, dimana suku pertama (a) adalah 204, beda barisan (b) adalah 12 dan suku terkakhir (un) adalah 444. Hai brother and sister kali ini matematika raftel akan membahas tentang materi barisan aritmatika jumlah bilangan kelipatan 3 antara 300 dan 400 ujian nasion. Contoh soal operasi pada himpunan dan penggunaan diagram venn; Contoh penyelesaian sistem persamaan dua variabel dalam bentuk bilangan pecahan; Bilangan pertama kelipatan 4 antara 200 dan 400 adalah 204 (a = 204) bilangan terakhir kelipatan 4 antara 200 dan 400 adalah 396 un = 396.

Klo jumlah bilangan genap kelipatan 3 antara 200 dan 400?

Contoh penyelesaian sistem persamaan dua variabel dalam bentuk bilangan pecahan; B = 15 (diambil dari kpk 3 dan 5) beda a = 210 (diambil dari bilangan kelipatan 15 terdekat dari 200 dan diatas 200) suku pertama Menghitung jumlah bilangan kelipatan biasanya merupakan bentuk soal barisan aritmatika. Dalam beberapa soal barisan aritmatika baik di tingkat smp maupun tingkat sma selalu muncul. Jumlah bilangan kelipatan 5 antara 100 dan 300 adalah…. Bank soal matematika per nomer soal 6 1. Setelah 200, suku pertama bilangan kelipatan 6 adalah 204, sedangkan suku terakhir bilangan kelipatan 6 adalah 396, sebelum mencapai 400. Jumlah bilangan kelipatan 5 antara 100 dan 300. Klo jumlah bilangan genap kelipatan 3 antara 200 dan 400? Diperoleh barisan tersebut memiliki 21 suku. Dukung channel ini dengan membeli perlengkapan sekolah di shopee lewat link berikut: Contoh soal operasi pada himpunan dan penggunaan diagram venn; Jumlah bilangan kelipatan 4 antara 200 dan 400 adalah….

Bilangan pertama kelipatan 4 antara 200 dan 400 adalah 204 (a = 204) bilangan terakhir kelipatan 4 antara 200 dan 400 adalah 396 un = 396. Jumlah bilangan kelipatan 3 dan 4 antara 200 dan 400 adalah. Jumlah bilangan kelipatan 3 antara 200 dan 400, pola bilangan matematika kelas 8#wahana_q#wahana_matematika Jumlah bilangan kelipatan 5 antara 100 dan 300. Dalam soal ini, materi yang akan dibahas adalah barisan aritmatika dan deret aritmatika.

Https Roboguru Ruangguru Com Question Jumlah Bilangan Kelipatan 3 Antara 200 Dan 400 Adalah Qu T7n3wlit
Https Roboguru Ruangguru Com Question Jumlah Bilangan Kelipatan 3 Antara 200 Dan 400 Adalah Qu T7n3wlit from
Jumlah bilangan kelipatan 2 dan 3 antara 200 dan 400 adalah 9.900. Jumlah bilangan kelipatan 2 dan 3 antara 200 dan 400 adalah 9900. Bilangan kelipatan 3 dan 4 adalah 12, 24, 36 dan seterusnya atau sama dengan kelipatan 12. Ini merupakan persoalan barisan aritmetika. Jumlah bilangan kelipatan 3 dan 5 antara 200 dan 400 adalah 3.900. Dalam soal ini, materi yang akan dibahas adalah barisan aritmatika dan deret aritmatika. Sehingga jumlah 21 suku pertama barisan tersebut. Kelipatan 3 dan 4 adalah 12 karena kelipatannya 12 maka kita akan mencari deret dengan beda b 12.

Bilangan pertama kelipatan 4 antara 200 dan 400 adalah 204 (a = 204) bilangan terakhir kelipatan 4 antara 200 dan 400 adalah 396 un = 396.

Dalam soal ini, materi yang akan dibahas adalah barisan aritmatika dan deret aritmatika. Anatomi kadal biskuit penambah berat badan balita fungsi alveolus brainly sate lilit bali ku mau iring tuhan. Jumlah bilangan kelipatan 3 antara 200 dan 400, pola bilangan matematika kelas 8#wahana_q#wahana_matematika Jumlah bilangan kelipatan 4 antara 200 dan 400 adalah…. Bilangan pertama kelipatan 4 antara 200 dan 400 adalah 204 (a = 204) bilangan terakhir kelipatan 4 antara 200 dan 400 adalah 396 un = 396. Dalam soal ini, materi yang akan dibahas adalah barisan aritmatika dan deret aritmatika. Jumlah bilangan kelipatan 3 dan 4 antara 20 sampai 50 adalah. Jumlah bilangan kelipatan 3 dan 5 antara 200 dan 400 adalah 3.900. Jumlah bilangan kelipatan 2 dan 3 antara 200 dan 400 adalah 9.900. Menghitung jumlah bilangan kelipatan biasanya merupakan bentuk soal barisan aritmatika. B = 15 (diambil dari kpk 3 dan 5) beda a = 210 (diambil dari bilangan kelipatan 15 terdekat dari 200 dan diatas 200) suku pertama Dukung channel ini dengan membeli perlengkapan sekolah di shopee lewat link berikut: Contoh soal operasi pada himpunan dan penggunaan diagram venn;

Posting Komentar untuk "Jumlah Bilangan Kelipatan 3 Antara 200 Dan 400 / Jumlah Kelipatan 2 Dan 3 Antara 200 Dan 400 - Diperoleh barisan tersebut memiliki 21 suku."